Elazığ'ın vergi rekortmenleri açıklandı
Elazığ'da 2023 Vergilendirme Döneminde vergi rekortmenleri açıklandı.
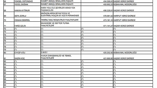
2023 Vergilendirme Dönemi Kurumlar Vergisi’nin Elazığ geneli ilk 100 sıralaması belli oldu. Elazığ Defterdarlığı vergi rekortmeni kişi ve kurumları açıkladı.
Elazığ Defterdarlığı tarafından açıklanan listeye göre 2023 Vergilendirme Dönemi vergi rekortmeni listesinde ilk 7 kişi isminin açıklanmasını istemezken 8. İsim Mehmet Askeri Doğan oldu.
Kurumlar vergisinde ise ilk 100’e bakıldığında ilk 3 firma isminin açıklanmasını istemezken 4. Kurum ELDAŞ Sanayi Ürünleri İmalat ve Dağıtım Anonim Şirketi oldu.










